2.5 PARALEL DAN SERI – PARALEL KONFIGURASI
1. Tujuan;[kembali}
- untuk memahami materi rangkaian paralel dan seri-paralel konfigurasi
- untuk mengetahui perhitungan pada penggunaan dioda
- Baterai, berfungsi sebagai sumber arus listrik.
- Dioda Silikon, berfungsi sebagai penyearah arus bolak-balik atau biasa disebut dengan arus AC.
- LED Green, berfungsi sebagai indikator atau sinyal indikator/lampu indikator.
- Resistor, berfungsi sebagai pembagi, pembatas, dan pengatur arus dalam suatu rangkaian.Resistor 1k OhmResistor berfungsi untuk menghambat arus dalam rangkaian listrik. Cara menghitung nilai resistansi resistor dengan gelang warna :1. Masukan angka langsung dari kode warna gelang pertama.2. Masukan angka langsung dari kode warna gelang kedua.3. Masukan angka langsung dari kode warna gelang ketiga.4. Masukkan jumlah nol dari kode warna gelang ke-4 atau pangkatkan angka tersebut dengan 10 (10^n), ini merupakan nilai toleransi dari resistor.
- Ground, berfungsi sebagai penghantar arus listrik langsung ke bumi.
Metode yang diterapkan dalam Bagian 2.4 dapat diperluas ke analisis konfigurasi paralel dan seri-paralel. Untuk setiap area aplikasi, cukup cocokkan rangkaian langkah berurutan yang diterapkan pada konfigurasi dioda rangkaian.
EXAMPLE 2.12
Tentukan Vo, I1, ID1, dan ID2 untuk konfigurasi dioda paralel pada Gambar 2.30.
EXAMPLE 2.15
SOLUSI :
Awalnya, akan terlihat bahwa tegangan yang diberikan akan membuat kedua dioda "on". Namun, jika keduanya "on", penurunan 0,7 V melintasi dioda silikon tidak akan cocok dengan 0,3 V yang melintasi dioda germanium seperti yang disyaratkan oleh fakta bahwa tegangan pada elemen paralel harus sama. Tindakan yang dihasilkan dapat dijelaskan hanya dengan menyadari bahwa ketika pasokan dihidupkan, hal itu akan meningkat dari 0 menjadi 12 V selama periode waktu tertentu — meskipun mungkin dapat diukur dalam milidetik. Pada saat kenaikan 0,3 V dipasang di seluruh dioda germanium, ia akan "hidup" dan mempertahankan tingkat 0,3 V. Dioda silikon tidak akan pernah memiliki kesempatan untuk menangkap 0,7 V yang diperlukan dan oleh karena itu rangkaian tetap dalam keadaan terbuka. Hasilnya :
Vo = 12v - 0,3v = 11,7v
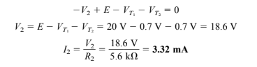
2. Tentukan arus I untuk jaringan pada gambar
SOLUSI :
dari gambar terlihat bahwa arah arus yang dihasilkan seperti menghidupkan dioda D1 dan mematikan dioda D2. Arus yang dihasilkan I adalah
a. gambar rangkaian
b. video simulasi
Video Rangkaian 2.36







 
 
 
Tidak ada komentar:
Posting Komentar